4. FOCUS SUR L’ÉTAPE 2 : ADMINISTRATION DES ENQUÊTES
4.1 Quelles sont les parties prenantes qui doivent être consultées ?
Par défaut, le tableau ci-dessous précise, en fonction de la taille de la structure du postulant, les parties prenantes qui doivent être consultées dans le cadre de la labellisation :
|
Nombre collaborateurs |
Salariés |
Clients |
Fournisseurs |
AUTRE (à déf.) |
|
5 – 10 |
NON (option) |
OUI |
NON (option) |
NON (option) |
|
11 – 100 |
OUI |
OUI |
NON (option) |
NON (option) |
|
100 – 500 |
OUI |
OUI |
OUI |
NON |
|
> 500 ** |
OUI |
OUI |
OUI |
OUI |
** Pour la partie prenante « salariés », à la différence des autres parties prenantes, la totalité des contacts doivent être interrogés.
Il est possible d’interroger plus de parties prenantes (option) que dans le tableau précédent, mais le résultat des enquêtes n’entrera pas dans le calcul de l’évaluation finale.
/!\ Un minimum de 10 contacts doit être interrogé pour garantir l’anonymat, ainsi qu’une représentativité des réponses.
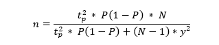
Au-delà de 500 contacts, appliquer la formuler d’échantillonnage suivante :
/n : taille de l’échantillon
N : taille de la population cible (nombre de ménages, d’usagers, etc.), réelle ou estimée.
P : proportion attendue d’une réponse de la population ou proportion réelle. Si l’enquête ne porte que sur un seul critère (l’équipement en toilettes) et qu’une étude a déjà été menée sur le sujet, proposant un résultat chiffré (40 % d’équipement en toilettes par exemple), la proportion est donnée par le résultat précédemment obtenu (0,4 dans cet exemple), ou par le résultat attendu. Dans le cas d’une étude multicritère ou lorsque aucune autre étude n’a été réalisée, ce qui est fréquent dans le domaine de l’assainissement, elle peut être fixée à 0,5 par défaut, ce qui permet d’avoir le plus grand échantillon possible.
tp : intervalle de confiance d’échantillonnage. Le tableau n° 1 donne les valeurs de tp associées aux intervalles de confiance.
y : marge d’erreur d’échantillonnage.
4.2 Quel taux minimal de répondants aux enquêtes est attendu ?
|
Nombres de contacts |
10 à 49 |
50 à 99 |
100 à 499 |
500 à 999 |
1 000 à 9 999 |
+10 000 |
|
Salariés |
80% |
70% |
60% |
51% |
41% |
30% |
|
Client B to C |
20% |
15% |
10% |
4% |
2% |
1% |
|
Clients B to B |
30% |
20% |
15% |
5% |
2% |
1% |
|
Fournisseurs |
30% |
20% |
15% |
5% |
3% |
1,5% |
En cas de non atteinte des taux minimum, le dossier sera porté à notre comité Ethique pour approbation ou non du label.
Au-delà du taux de retour, il est attendu un nombre minimum de retours. Pour les « clients », nous pouvons considérer qu’un nombre de 100 réponses aux enquêtes est représentatif.
4.3 Que se passe-t-il si le taux minimal n’est pas atteint ?
Dans le cadre d’un premier audit, il est nécessaire d’atteindre le taux minimal de retours aux enquêtes, faute de quoi l’entreprise ne pourra obtenir le label.
Dans le cadre d’un renouvellement, la non obtention du taux de retour minimum n’est pas pénalisante dans la reconduction de la licence. Toutefois la note de satisfaction associée à la partie prenante concernée ne pourra pas être prise en compte dans l’évolution de l’évaluation générale de l’entreprise.
4.4 Est-il possible de modifier le contenu des enquêtes ainsi que leurs langues ?
Les enquêtes Positive Company® sont standardisées afin de permettre un traitement automatique des réponses et garantir une notation équivalente d’un postulant à un autre.
Il n’est donc par défaut pas possible de modifier les thématiques abordées par les questions des enquêtes.
Toutefois, faisant l’objet d’un devis préalable, il est possible d’ajouter en fin d’enquête jusqu’à 3 questions supplémentaires, qui n’interfèreront en rien dans la notation finale.
Les enquêtes sont disponibles par défaut en 5 langues (Français, Anglais, Espagnol, Néerlandais, Arabe). Il est possible de commander une traduction dans une nouvelle langue. Dans ce contexte, les coûts associés à cette traduction sont partagés entre le postulant et Positive Company® (cf. Article 2.5)
4.5 Comment l’anonymat des enquêtes est-il garanti ?
Les collecteurs (liens) des enquêtes sont générés par Positive Company® via la plateforme SurveyMonkey. Aucun fichier de contact n’est transmis par le postulant à Positive Company®.
Lors de la remise des résultats des enquêtes, Positive Company® garanti l’anonymat et vérifie qu’aucune population ne puisse être identifiée.
Aucun traçage d’IP n’est effectué.
Tout résultat qui le permettrait serait rendu inexploitable par les équipes de Positive Company®.
4.6 Comment être sûr que le postulant n’écarte pas de contact dans la diffusion des enquêtes ?
Contractuellement, il est précisé dans les conditions générales de vente qu’il est formellement interdit d’écarter tout contact dans le cadre des enquêtes. Une entrave à cette règle enclencherait immédiatement un arrêt du programme ou une suspension de la labellisation.
Toute personne souhaitant témoigner pourrait joindre l’organisme à cette adresse : contact@positive-company.eu
4.7 Comment les réponses des enquêtes sont-elles pondérées et transformées en taux de satisfaction ?
Pour calculer la note obtenue pour chaque enquête, la pondération des réponses est la suivante :
|
ÉCHELLE DE LIKERT |
PONDÉRATION |
|
Tout à fait d'accord |
5 |
|
Plutôt d'accord |
2,5 |
|
Ni d'accord, ni pas d'accord |
1,25 |
|
Plutôt pas d'accord |
0,75 |
|
Pas du tout d'accord |
0 |
|
Ne sais pas / non concerné |
Retranché du total |
Cette pondération permet d'obtenir une note globale par enquête, en fonction des réponses à chaque question et de la répartition de ces questions selon les 5 thématiques clés du label (activité, gouvernance, social, environnemental, sociétal).
En parallèle, une formule permettant de traduire la pondération des réponses en pourcentage de satisfaction est utilisée pour les rapports de labellisation. Cela vous permet d'accéder à des chiffres plus communicants et détaillés par question pour la restitution. La formule utilisée est la suivante :

Programmer un rendez-vous avec un membre de l'équipe Positive Company®